Contoh Surat Permohonan Pinjam Pakai Barang Bukti

Contoh surat permohonan pinjam pakai barang bukti.
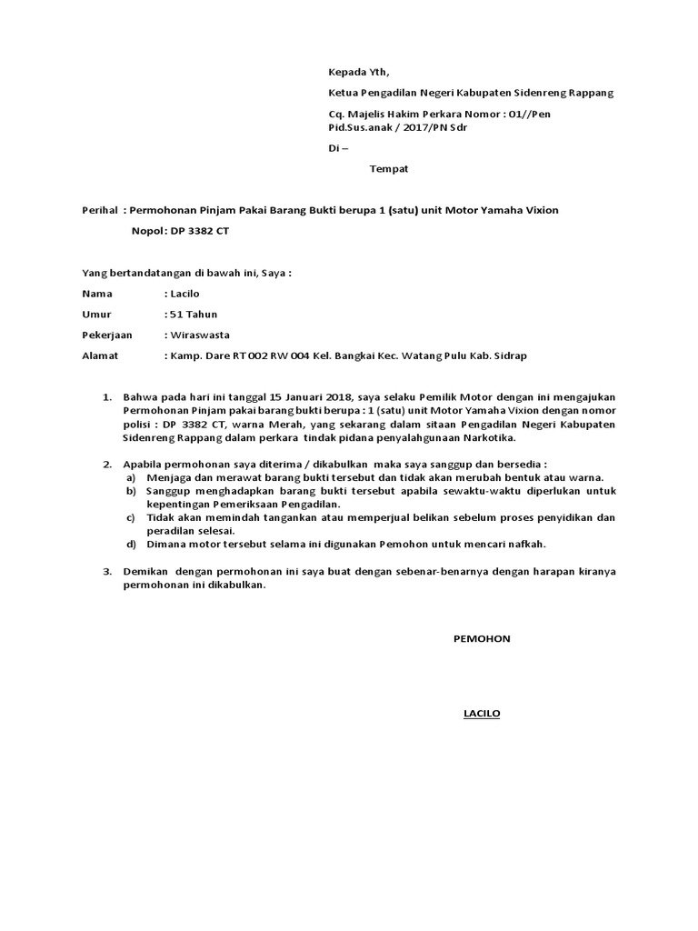
Contoh surat permohonan pinjam pakai barang bukti. Kemungkinan jenis surat permohonan yang akan kamu buat atau kamu urus berbeda tapi tidak usah bingung kamu cukup menyesuaikannya dengan contoh yang kami berikan di atas. Contoh surat permohonan pinjam pakai barang bukti di persidangan barang bukti yang diajukan di persidangan dapat dipinjam oleh pemiliknya dengan mengajukan surat permohonan pinjam pakai barang bukti. Bahkan tidak hanya suratnya saja isi surat juga menjadi acuan keprofesionalan sebuah instansi. Kenapa demikian karena surat memiliki bukti fisik dan bisa dijadikan sebagai bahan bukti di kemudian hari.
Contoh surat permohonan pinjam pakai barang bukti di persidangan barang bukti dalam hal ini adalah barang barang yang diperlukan sebagai alat bukti terutama alat bukti seperti yang disebutkan dalam keterangan saksi atau. 4 jalan tuanku tambusai labuh baru barat payung sekaki labuh baru bar payung sekaki kota. Bahwa yang bertandatangan mengajukan permohonan untuk pinjam pakai barang bukti yaitu 1 satu unit mobil mitsubishi pajero warna biru safir metalik nomor rangka. Address komplek atria blok b no.
15 contoh surat permintaan barang yang benar dan terlengkap dalam menjalankan roda perusahaan tentu tidak bisa terlepas dari urusan surat menyurat. Surat permohonan pinjam pakai diajukan oleh pemilik kendaraan atau kuasa jika dikuasakan kepada ketua pengadilan melalui majelis hakim yang mengadili dan memutus perkara tersebut. Nah pada postingan ini akan kami berikan contoh surat peminjaman barang yang resmi untuk berbagai. Surat peminjaman tempat contoh surat peminjaman gedung tempat kegiatan pinjam pakai alat kartika bluesky september 5 2020 contoh surat no comments makalah id bagi yang sering menjadi panitia di sebuah event atau bekerja dalam bidang persuratan tak asing dengan surat peminjaman tempat.
Surat kuasa perihal. 4pz18 ox1234567 nomor polisi bm 1 shmh tahun pembuatan 2017 atas nama pemilik setir kiri kanan berdasarkan surat permintaan barang bukti nomor b 000. Walaupun sekarang ini sudah banyak media komunikasi yang canggih namun perusahaan sendiri masih harus tetap menggunakan surat. Surat peminjaman tempat contoh surat peminjaman gedung tempat kegiatan pinjam pakai alat kartika bluesky september 19 2019 contoh surat no comments makalahid bagi yang sering menjadi panitia di sebuah event atau bekerja dalam bidang persuratan tak asing dengan surat peminjaman tempat.
Form peminjaman barang inventaris kantor. Kepala kepolisian resor kota. Itulah beberapa contoh surat permohonan untuk berbagai kepentingan yang dapat kamu jadikan rujukan dalam membuat surat permohonan. Barang inventaris kantor merupakan salah satu barang yang harus di jaga karena merupakan aset dari perusahaan.